High risk of recurrence for grade II meningioma: a 10-year multicenter analysis of prognosis factors
Introduction
Meningiomas, which are derived from arachnoid cap cells, account for 20% of all cases of intracranial tumors (1). In the 2016 World Health Organization (WHO) classification, meningiomas are classified into three grades based on their histopathological features (2). Brain invasion or a mitotic count of 4 or more mitoses per 10 high-power fields (×400) is sufficient for diagnosing a WHO grade II meningioma (1). Atypical meningiomas (WHO grade II) account for 20–35% and have a slight male predominance (1). The prognosis of atypical meningiomas is worse with a 10-year progression-free survival (PFS) and overall survival (OS) rate from 23% to 78% and 50% to 79%, respectively (3). The standard care of treatment is gross total surgery, and there are no guidelines considering adjuvant radiotherapy (4).
The present study aimed to describe the clinical, histological and therapeutic data of a grade II meningioma population to investigate recurrence and survival factors. We present the following article in accordance with the STROBE reporting checklist (available at http://dx.doi.org/10.21037/cco-20-226).
Methods
We retrospectively included 216 patients treated for a grade II meningioma in six centers in France between January 2008 and December 2018. Meningioma diagnosis was confirmed according to the 2016 WHO classification. Benign meningiomas transformed into grade II were also included. We recorded the following variables: gender, age at diagnosis and tumor location. The management strategy for each patient was retrospectively assessed as follows: surgery extent (gross total resection, GTR; or subtotal resection, STR), adjuvant radiotherapy, radiation therapy and surgery at recurrence time, and systemic therapy. Adjuvant radiotherapy means radiotherapy after the first surgery regardless of extent of surgery. The quality of surgery was defined according to the Simpson classification. Total resection was defined as Simpson grade 1, 2 and subtotal resection was defined as Simpson grade 3, 4, 5.
The histological subtype, grade, grade evolution, Ki-67 proliferative index and progesterone receptor (PR) expression were also assessed. PFS time was defined from the disease diagnosis to progression confirmed by brain RMI. OS time was defined from the diagnosis to the date of death or last report. The study was conducted in accordance with the Declaration of Helsinki (as revised in 2013). Due to the retrospective and observational status of this study, approval of an ethic committee and informed consent was not mandatory.
Statistical analysis
Quantitative variables are presented with their mean and standard deviations, and they are compared with Student’s t-test when appropriate as well as the Shapiro-Wilk test or Wilcoxon’s rank test in case of non-Gaussian variable distribution. Qualitative variables are described by their absolute numbers and percentages, and they are subsequently compared using Pearson’s χ2 test or Fisher’s exact test. For multivariate analysis, we used a log-linear model with an adjustment for covariates with P<0.2 in univariate analysis or clinically pertinent to estimate OR and their 95% confidence interval. HR was calculated with a Cox regression. Survival was analyzed with Kaplan-Meier survival curves and the log-rank test. Differences were considered significant if the corresponding P value was <0.05. The ROC curve was used to define the Ki-67 threshold value. Statistical analysis was performed using R software (v3.5.1) (open source, The R Foundation @ [http://www.r-project.org]).
Results
We retrospectively included 216 patients treated for a grade II meningioma in six French centers in France between January 2008 and December 2018. Among them, 25 recurrent grade II and 10 grade I meningiomas transformed into grade II were diagnosed at first time between 1988 and 2007 (Figure 1). The main characteristics are shown in Table 1. The median age at diagnosis was 58 years (95% CI, 55–59), and the median follow-up was 6.7 years. Total and subtotal resection were performed in 122 (56%) and 59 (27%) patients, respectively. For 35 patients (16%), the extent of surgery was not known. Adjuvant radiotherapy with a median dose of 60 Gy was performed in 45 cases (21%). Among them, 24 patients (53%) were treated with intensity modulated radiotherapy (IMRT). Data considering radiation therapy procedure used in the other 24 patients are missed data. Overall, 99 (46%) of the patients relapsed after the first surgery. Among them, 18 patients had adjuvant radiotherapy. At time of recurrence, use of radiotherapy was higher for patients who did not receive radiotherapy after the first surgery (75% versus 33%, P=0.003), while those treated with adjuvant radiotherapy underwent more surgery (75% versus 50%, P=0.065) or systemic therapy (44% versus 7%, P=0.008). Fifteen patients received systemic therapy mainly based on bevacizumab [7], sunitinib [2] chemotherapy hydroxyurea [2] and temozolomide [1] or somatostatin analog [3].

Full table
Patients who relapsed had statistically more subtotal resections (P=0.0004), a higher Ki-67 rate (P=0.02) and negative PR expression (P=0.04) than those who did not.
Prognosis factors of recurrence
In univariate analysis, we identified the following four prognostic factors influencing recurrence: extent of first surgery (P=0.014), PR expression (P=0.038), histological grade evolution (P<0.001), and Ki-67 proliferative rate (P<0.001). In the multivariate analysis with the aforementioned variables, the only remaining prognostic factor was the Ki-67 proliferative index (HR 1.10; 95% CI, 1.00–1.21; P=0.048) (Table 2). Using the ROC curve, the Ki-67 cutoff value was 17.5% with a sensitivity and specificity of 58% and 75%, respectively.

Full table
Survival data
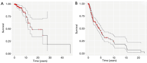
The median follow-up was 6.7 years. The median PFS and OS times were 4.6 years (95% CI, 3.5–5.5) and 14.7 years (95% CI, 11.7–NA), respectively (Figure 2A,B). At the end of the follow-up, 171 patients (82%) were alive, and 29 patients (13%) were dead. Overall, 99 (46%) of the meningiomas relapsed with a 22-month median PFS. Fifty-five patients (25%) who reached at least 22 months of follow-up did not relapse.

Survival data considering Ki-67 proliferative index
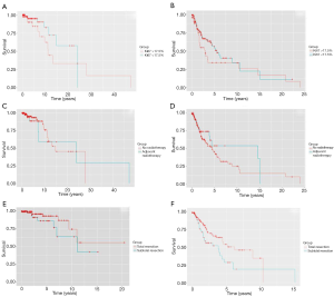
The median PFS and OS times for patients with a Ki-67 proliferative index greater than 17.5% and those with a Ki-67 index less than 17.5% were 5.5 versus 2.9 years and 23.8 versus 11.1 years, respectively (P=0.2) (Figure 3A,B).

Extent of surgery had no significant impact on PFS (P=0.4) and on OS (P=0.5) for patients with a Ki-67 >17.5% while it significantly improved PFS (P=0.05) and tended to improve OS (P=0.06) for patients with a Ki-67 <17.5%. Considering patients with a Ki-67 >17.5% and who received adjuvant radiotherapy, PFS (14.8 versus. 2.8 months, P=0.4) and OS (P=0.7) times were longer but significance was not reached.
Survival data considering adjuvant radiotherapy
Adjuvant radiotherapy (RT) tended to improve survival outcomes. Median PFS and OS times were 3.2 (14.6 versus 4.5 years) and 1.6 (23.8 versus 14.7 years) times longer for patients treated with adjuvant RT than those who were not treated with adjuvant RT, respectively (Figure 3C,D). Significance was not reached due to heterogeneity between the two groups. Patients treated with adjuvant RT had more aggressive tumors. The following three unfavorable prognosis factors were significantly higher in this group: Ki-67 (P=0.02), subtotal resection (P=0.0004) and PR expression (P=0.04).
Survival data considering the extent of surgery
Gross total resection was significantly associated with a longer PFS time (median 6.3 years; 95% CI, 4.5–NA; P=0.03) (Figure 3E), but it did not impact OS (P=0.2) (Figure 3F).
Discussion
This study utilized a large sample size and reported prognostic factors of recurrence for grade II meningioma. Grade II meningiomas are aggressive tumors due to a high risk of recurrence. The median PFS and OS times in all patients were 4.6 years (95% CI, 3.5–5.5) and 14.7 years (95% CI, 11.7–NA), respectively. Several studies have reported similar outcomes considering PFS (median between 4.0 and 4.4 years) (5-7) and OS (median between 12.4 and 19.0 years) (8,9).
We reported a recurrence rate of 46% with a 22-month median time of recurrence. Some previous studies have reported a lower recurrence rate from 32% to 37% with a 24-month median recurrence time. This difference may be explained by the rate of patients with Simpson grade I/II or gross total resection from 65% to 100% compared to 56% in the current cohort (5,10-12). Another retrospective study reported a higher overall recurrence rate, reaching 64%. Indeed, this difference may be explained by more aggressive histological features (Ki-67 over 9.9%, high cellularity, increased nucleus/cytoplasm rate, and necrosis), and 57% of the patients in the previous retrospective study had a subtotal resection compared to 27% in the current study (8).
Previously reported data have shown large variability in recurrence rates. The extent of surgery and features of pathology are likely the reasons for the variations. Indeed, we observed these factors as recurrence prognosticators.
Extent of surgery
In our univariate analysis, subtotal resection was significantly associated with recurrence (P=0.014). The median PFS was significantly lower for patients treated with subtotal resection than for those who were not treated with subtotal resection (median 3.8 versus 6.3 years, P=0.03), but there was no significant difference in OS (P=0.2), which agreed with previously reported data. Wang et al. reported a longer PFS for patients treated with a total resection than those who were not treated with a total resection (P=0.011) (13). Hammouche et al. reported a significant correlation between the extent of surgery and recurrence for 79 grade II meningiomas (HR 2.2 per grade; 95% CI, 1.2–3.87, P=0.001) (6). Shaikh et al. also reported a higher recurrence rate for 70 grade II meningiomas treated with subtotal resection (HR 5.49; 95% CI, 2.19–13.72, P=0.0003) (14). Subtotal resection is the only recurrence factor in a previous retrospective study including 28 atypical meningiomas (8). Other authors have reported subtotal resection as an unfavorable recurrence factor (5,11,15,16).
Thus, previously reported data suggests that subtotal resection is a main unfavorable recurrence factor.
Ki-67 proliferative index
According to the multivariate analysis, the Ki-67 proliferative index was the only recurrence factor with a threshold value of 17.5%. Literature data considering prognostic value of Ki-67 remains controversial. In a retrospective study including 30 atypical meningioma, Ki-67 rate was not significantly an unfavorable factor of recurrence (P=0.5) (17). Hsu et al. observed similar result regardless of histological grade (18). In both studies, Ki-67 cut-off was low (8% and 3.2%, respectively). On the other hand, several retrospective studies including between 50 and 205 atypical meningiomas reported a statistically significant correlation between Ki-67 rate and recurrence (5,10,17,19-21). Except Kirn et al. study, all those studies had a Ki-67 threshold between 10% and 15%. Considering literature data, Ki-67 rate seemed to be an unfavorable factor of recurrence in atypical meningioma with elevated expression of this proliferative index. The lack of a consensus definition of cut-off value is the main contributor toward heterogeneity.
PR expression
Several studies reported an impact of PR expression in the prognostication of meningioma. Hsu et al. observed a correlation between negative PR expression and a higher Ki-67 index (P<0.0001). In this retrospective study including 70 meningiomas all grade, OS was statistically lower for patients with a negative expression of PR (P<0.0001) (18). In a prospective study including 90 grade I, II and III meningiomas, Mukhopadhyay et al. reported a correlation between high proliferation index, negative PR expression and histological grade II or III (22). Roser et al. reported that the association Ki-67>4% and negative PR expression was an unfavorable prognostic factor in totally removed meningiomas (Simpson I and II) (23). Negative PR expression was also an unfavorable prognosis factor according our univariate analysis.
Adjuvant radiotherapy
In our study, adjuvant radiotherapy was a favorable prognostic factor and tended to improve PFS and OS. Significance was not reached because patients treated with adjuvant RT had mainly subtotal resection, a high Ki-67 rate and negative PR expression. These factors may have negatively counterbalanced the gain expected with irradiation. Previous literature data, including most retrospective studies, have reported controversial results considering adjuvant RT. Due to a lack of guidelines considering adjuvant radiotherapy in routine practice, only patients with an aggressive tumor (high Ki-67 index, negative PR and subtotal resection) underwent radiotherapy in the adjuvant setting. Champeaux et al. reported no impact on surgical-free recurrence of adjuvant RT in 178 grade II meningiomas. In the group treated with adjuvant RT, the subtotal resection rate was higher than those who were not treated with adjuvant RT (34.6% versus 16.9%; P=0.022) (15). In a study including 194 patients, RT was significantly associated with shorter recurrence-free survival time (P<0.0001) but without impact on OS (P=0.88) (24). In previous study with a large sample size, adjuvant radiotherapy was not a prognostic factor for survival in the overall population (P=0.187), but for patients with subtotal resection, adjuvant radiotherapy significantly improved OS (P=0.026) (25). Wang et al. showed a lower recurrence rate for patients treated with subtotal resection followed by adjuvant radiotherapy (P=0.023) (26). In a recent study with a large sample size, adjuvant radiotherapy improved OS regardless of the extent of surgery. The 5-year OS was 85.1% (95% CI, 81.5–88.9%) in patients receiving gross total resection followed by adjuvant radiation, 79.3% (95% CI, 77.4–81.4%) among those receiving gross total resection alone, 78.5% (95% CI, 74.8–82.4%) among those receiving subtotal resection followed by adjuvant radiation, and 70.1% (95% CI, 67.6–72.7%) among those receiving subtotal resection alone (P<0.001) (27).
Few others factors have a prognosis value. Sahm et al. described 6 distinct methylation classes of meningioma using genomic analysis. This molecular classification had high prognosis power (28). In a large retrospective study, recurrence rate was statistically higher for grade II/III (P=0.029) or intermediate/malignant methylation subtype (P=0.005) meningioma treated with pre-operative embolization compared to those without (29).
Retrospective nature of this cohort is the main limitation. Moreover, definition of Ki-67 was not similar between the 6 centers, there was a heterogeneity about Ki-67 value. Criteria to use adjuvant radiotherapy are not similar between the 6 centers, there was no consensus.
The inhomogeneous postoperative treatment due to the lack of definitive guidelines reflected worldwide difficulties in finding a clear conclusion from the various published series.
Conclusions
Grade II meningioma is a variant of meningioma with a high risk of recurrence. A high Ki-67 index, subtotal resection, negative PR expression and histological grade evolution negatively influenced the recurrence rate. Patients treated with adjuvant radiotherapy often had a more aggressive meningioma. Despite these unfavorable factors, the median OS and PFS times were longer for these patients. Large prospective studies are needed to determine a consensus for optimal adjuvant therapy.
Acknowledgments
Funding: None.
Footnote
Reporting Checklist: The authors have completed the STROBE reporting checklist. Available at http://dx.doi.org/10.21037/cco-20-226
Data Sharing Statement: Available at http://dx.doi.org/10.21037/cco-20-226
Peer Review File: Available at http://dx.doi.org/10.21037/cco-20-226
Conflicts of Interest: All authors have completed the ICMJE uniform disclosure form (available at http://dx.doi.org/10.21037/cco-20-226). The authors have no conflicts of interest to declare.
Ethical Statement: The authors are accountable for all aspects of the work in ensuring that questions related to the accuracy or integrity of any part of the work are appropriately investigated and resolved. The study was conducted in accordance with the Declaration of Helsinki (as revised in 2013). Due to the retrospective and observational status of this study, approval of an ethic committee and informed consent was not mandatory.
Open Access Statement: This is an Open Access article distributed in accordance with the Creative Commons Attribution-NonCommercial-NoDerivs 4.0 International License (CC BY-NC-ND 4.0), which permits the non-commercial replication and distribution of the article with the strict proviso that no changes or edits are made and the original work is properly cited (including links to both the formal publication through the relevant DOI and the license). See: https://creativecommons.org/licenses/by-nc-nd/4.0/.
References
- Louis DN, Perry A, Reifenberger G, et al. The 2016 World Health Organization Classification of Tumors of the Central Nervous System: a summary. Acta Neuropathologica 2016;131:803-20. [Crossref] [PubMed]
- Backer-Grøndahl T, Moen BH, Torp SH. The histopathological spectrum of human meningiomas. Int J Clin Exp Pathol 2012;5:231-42. [PubMed]
- Bi WL, Zhang M, Wu WW, et al. Meningioma Genomics: Diagnostic, Prognostic, and Therapeutic Applications. Front Surg 2016;3:40. [Crossref] [PubMed]
- Goldbrunner R, Minniti G, Preusser M, et al. EANO guidelines for the diagnosis and treatment of meningiomas. Lancet Oncol 2016;17:e383-91. [Crossref] [PubMed]
- Nanda A, Bir SC, Konar S, et al. Outcome of resection of WHO Grade II meningioma and correlation of pathological and radiological predictive factors for recurrence. J Clin Neurosci 2016;31:112-21. [Crossref] [PubMed]
- Hammouche S, Clark S, Wong AHL, et al. Long-term survival analysis of atypical meningiomas: survival rates, prognostic factors, operative and radiotherapy treatment. Acta Neurochirurgica 2014;156:1475-81. [Crossref] [PubMed]
- Park HJ, Kang HC, Kim IH, et al. The role of adjuvant radiotherapy in atypical meningioma. J Neurooncol 2013;115:241-7. [Crossref] [PubMed]
- Ros-Sanjuan A, Iglesias-Moroño S, Carrasco-Brenes A, et al. Atypical Meningiomas: Histologic and Clinical Factors Associated With Recurrence. World Neurosurg 2019;125:e248-56. [Crossref] [PubMed]
- Palma L, Celli P, Franco C, et al. Long-term prognosis for atypical and malignant meningiomas: a study of 71 surgical cases. J Neurosurg 1997;86:793-800. [Crossref] [PubMed]
- Barrett OC, Hackney JR, McDonald AM, et al. Pathologic Predictors of Local Recurrence in Atypical Meningiomas Following Gross Total Resection. Int J Radiat Oncol Biol Phys 2019;103:453-9. [Crossref] [PubMed]
- Budohoski KP, Clerkin J, Millward CP, et al. Predictors of early progression of surgically treated atypical meningiomas. Acta Neurochir 2018;160:1813-22. [Crossref] [PubMed]
- Garcia-Segura ME, Erickson AW, Jairath R, et al. Necrosis and Brain Invasion Predict Radio-Resistance and Tumor Recurrence in Atypical Meningioma: A Retrospective Cohort Study. Neurosurgery 2020;88:E42-8. [Crossref] [PubMed]
- Wang YC, Chuang CC, Wei KC, et al. Skull base atypical meningioma: long term surgical outcome and prognostic factors. Clin Neurol Neurosurg 2015;128:112-6. [Crossref] [PubMed]
- Shaikh N, Dixit K, Raizer J. Recent advances in managing/understanding meningioma. F1000Research 2018;7:F1000 Faculty Rev-490.
- Champeaux C, Dunn L. World Health Organization Grade II Meningioma: A 10-Year Retrospective Study for Recurrence and Prognostic Factor Assessment. World Neurosurg 2016;89:180-6. [Crossref] [PubMed]
- Masalha W, Heiland DH, Franco P, et al. Atypical meningioma: progression-free survival in 161 cases treated at our institution with surgery versus surgery and radiotherapy. J Neurooncol 2018;136:147-54. [Crossref] [PubMed]
- Kim JW, Kim DG, Paek SH, et al. Radiosurgery for Atypical and Anaplastic Meningiomas: Histopathological Predictors of Local Tumor Control. Stereotact Funct Neurosurg 2012;90:316-24. [Crossref] [PubMed]
- Hsu DW, Efird JT, Hedley-Whyte ET. Progesterone and estrogen receptors in meningiomas: prognostic considerations. J Neurosurg 1997;86:113-20. [Crossref] [PubMed]
- Champeaux C, Houston D, Dunn L. Atypical meningioma. A study on recurrence and disease-specific survival. Neurochirurgie 2017;63:273-81. [Crossref] [PubMed]
- Choi Y, Lim DH, Yu JI, et al. Prognostic Value of Ki-67 Labeling Index and Postoperative Radiotherapy in WHO Grade II Meningioma. Am J Clin Oncol 2018;41:18-23. [Crossref] [PubMed]
- Yamaguchi S, Terasaka S, Kobayashi H, et al. Prognostic Factors for Survival in Patients with High-Grade Meningioma and Recurrence-Risk Stratification for Application of Radiotherapy. PLoS One 2014;9:e97108 [Crossref] [PubMed]
- Mukhopadhyay M, Das C, Kumari M, et al. Spectrum of meningioma with special reference to prognostic utility of ER,PR and Ki67 expression. J Lab Physicians 2017;9:308-13. [Crossref] [PubMed]
- Roser F, Nakamura M, Bellinzona M, et al. The prognostic value of progesterone receptor status in meningiomas. J Clin Pathol 2004;57:1033-7. [Crossref] [PubMed]
- Champeaux C, Wilson E, Shieff C, et al. WHO grade II meningioma: a retrospective study for outcome and prognostic factor assessment. J Neurooncol 2016;129:337-45. [Crossref] [PubMed]
- Zeng Q, Shi F, Guo Z. Effectiveness of Postoperative Radiotherapy on Atypical Meningioma Patients: A Population-Based Study. Front Oncol 2019;9:34. [Crossref] [PubMed]
- Wang F, Xu D, Liu Y, et al. Risk factors associated with postoperative recurrence in atypical intracranial meningioma: analysis of 263 cases at a single neurosurgical centre. Acta Neurochir 2019;161:2563-70. [Crossref] [PubMed]
- Brown DA, Goyal A, Kerezoudis P, et al. Adjuvant radiation for WHO grade II and III intracranial meningiomas: insights on survival and practice patterns from a National Cancer Registry. J Neurooncol 2020;149:293-303. [Crossref] [PubMed]
- Sahm F, Schrimpf D, Stichel D, et al. DNA methylation-based classification and grading system for meningioma: a multicentre, retrospective analysis. Lancet Oncol 2017;18:682-94. [Crossref] [PubMed]
- Wirsching HG, Richter JK, Sahm F, et al. Post-operative cardiovascular complications and time to recurrence in meningioma patients treated with versus without pre-operative embolization: a retrospective cohort study of 741 patients. J Neurooncol 2018;140:659-67. [Crossref] [PubMed]


